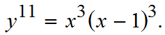
ALGEBRAIC POINTS OF LOW DEGREE ON THE AFFINE CURVE y^11 = x^3(x-1)
Keywords:
degree of algebraic points, rational points, algebraic extensions.DOI:
https://doi.org/10.17654/2277141723016Abstract
We determine a parametrization of algebraic points of degree at most 2 over
on the curve C given by the affine equation
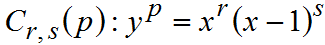
This note treats a special case of quotients of Fermat curves
with
Theses curves are described by Sall in [4] who extended the works of Gross and Rohrlich in [2].
Received: March 19, 2023;
Accepted: April 21, 2023;
References
D. Faddeev, On the divisor class groups of some algebraic curves, Dokl. Akad. Nauk SSSR 136 (1961), 296-298. English translation: Soviet Math. Dokl. 2(1) (1961), 67-69.
B. Gross and D. Rohrlich, Some results on the Mordell-Weil group of the Jacobian of the Fermat curve, Invent. Math. 44 (1978), 201-224.
P. A. Griffiths, Introduction to algebraic curves, Translations of Mathematical Monographs, Vol. 76, American Mathematical Society, Providence, 1989.
O. Sall, Points algébriques sur certains quotients de courbes de Fermat, C. R. Acad. Sci. Paris Ser. I 336 (2003), 117-120.
P. Tzermias, Torsion parts of Mordell-Weil groups of Fermat Jacobians, Internat. Math. Res. Notices 7 (1998), 359-369.
Downloads
Published
Issue
Section
License
Copyright (c) 2023 Pushpa Publishing House, Prayagraj, India

This work is licensed under a Creative Commons Attribution 4.0 International License.






Google h-index:
Downloads: